При графическом анализе результатов расчета (деформации, эпюры усилий и т. п.) в строке в окне «Выбор загружения» дополнительно к описанным в разделе Выбор загружения параметрам указывается номер шага в загружении, на котором выполнено сохранение результатов расчета. Для результатов динамических загружений шаг не указывается, т.к. для нелинейного загружения динамический расчет для линеаризованной схемы выполняется по завершению всех шагов загружения.
В случае нелинейного расчета в списке «Выбор загружения» используются следующие обозначения для идентификации выводимой информации:
LN + LS – амплитуда от нелинейной и статической нагрузки (статический ветер) динамического загружения;
LN + SD – амплитуда от нелинейной и динамической огибающей составляющих динамического загружения;
LN + LS + SD или LN + LS - SD – амплитуда от нелинейной, статической и динамической составляющих динамического загружения;
LN + S1, LN - S1, LN + S2, LN - S2 ... – амплитуда от нелинейной, и динамической огибающей от действительной и мнимой составляющих динамического загружения;
LN + Т1, LN + Т2, ... – амплитуда от нелинейной и динамической составляющей в указанный момент времени.
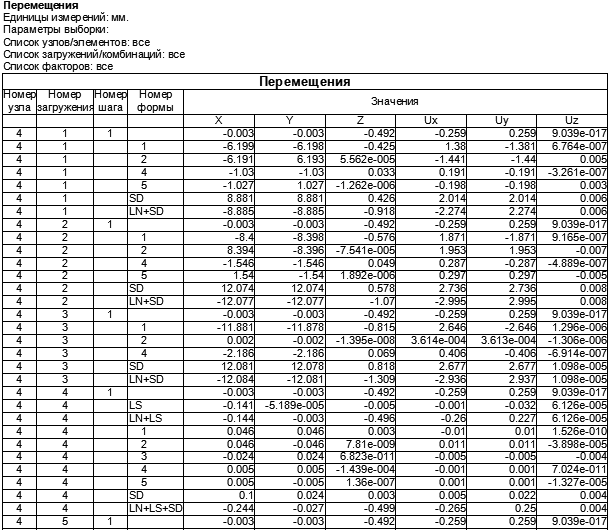
На рис. 1 приведен фрагмент таблицы перемещений для нелинейной задачи, таблица сформирована Документатором.

Рис. 1. Фрагмент таблицы «Перемещения» для нелинейной задачи
Для того чтобы результаты нелинейного расчета можно было использовать при подборе/экспертизе стальных и/или железобетонных конструкций, должны быть вычислены расчетные сочетания усилий (см. Расчетные сочетания).
Если был проведен расчет физически нелинейной системы, то операции
(Повреждения
и разрушения) и
(Суммарные
повреждения и разрушения), которые доступны в закладках Эпюры
усилий и Поля напряжений,
позволяют получить цветовую шкалу элементов, в которых возникли
те или иные критические события. Они могут характеризоваться как повреждениями
так и разрушениями.
При этом важно помнить, что для выполнения этих операций оболочечные конечные элементы разбиваются на слои (по умолчанию 20), а поперечное сечение стержневых конечных элементов на треугольники (по умолчанию площадь каждого треугольника составляет 5% от площади сечения). Критические события характеризуют состояние слоя, треугольного участка сечения или же одного из арматурных стержней.
Лишь в тех случаях, когда повреждения стали такими, что конечный элемент стал неработоспособным, он исключается из расчетной модели. Но для статически неопределимых систем и это не всегда означает разрушение конструкции.
Разница, между описанными выше операциями, состоит в том, что определенное
повреждение (текучесть материала) может возникнуть в некоторый момент
t1
времени и исчезнуть в момент времени t2. При этом на шкале
(в отличии от шкалы
)
при t>t2это повреждение отображаться
не будет.
Операция
позволяет получить в табличной информацию
аналогичную той, которая доступна по кнопке
(Суммарные повреждения и разрушения).